360°视频,也称全景视频、VR视频,是一种立体视频格式,和普通的2D视频在平面上展开不同,360视频是在球体上展开,JVET成了了专门的工作组研究360视频的编码。
JVET还提供了360Lib参考软件用于360视频的投影格式转换和质量评价等。360Lib用c++写成,可以单独用于360视频的投影格式转换和质量评价处理,也可集成到HM和VTM中,这样在进行360视频编码时就不需要存储中间投影的YUV序列。
360视频投影
360视频是立体视频,而传统视频是2D的矩形平面视频,如果想对360视频编码就需要先将其转换为2D平面视频,即格式投影。

图1 360Lib XYZ坐标系
360视频可用图1球体表示,它是一个3D XYZ坐标系,坐标原点在球心,X轴指向球的前面,Y轴指向球的上面,Z轴指向球的右面。整个坐标系符合右手系。球面上的点可以用经度ϕ和纬度θ 表示,经度 ϕ取值范围为[−π,π],纬度θ取值范围为 [−π/2, π/2]。其中经度 ϕ定义为沿X轴逆时针旋转的角度,纬度θ定义为从赤道开始向Y轴旋转的角度。
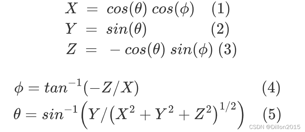
在单位球体(即球半径为1)上,坐标(X,Y,Z)和 (ϕ, θ)的相互转换关系如下:

投影的目的即是将在球面上的像素映射到二维平面(uv平面),即(X,Y,Z)坐标转换为(u,v)坐标。

图2 uv平面坐标系
360视频映射为2D视频可能会映射到1个面上,也可能映射到多个面上,所以每个uv平面都有一个索引f标识,每个面对应一个2D的uv平面。uv平面上的坐标用(m,n)表示,如图2中橘色圆圈所示。360视频投影实际上就是(X,Y,Z)和(f,m,n)间的坐标相互转换。在360Lib中通过map2Dto3D()和map3Dto2D()接口实现(X,Y,Z)和(f,m,n)间的相互转换。
360Lib提供了14种投影方式,在接下来的文章中会逐步介绍:
表1 360Lib中的投影格式

ERP等距柱状投影
等距柱状投影(Equirectangular Projection,ERP)是最常用的球面投影方式,世界地图的绘制就是采用ERP投影。
ERP是360Lib默认采用的投影方式,投影后只有1个面,即整个球面投影到1个矩形平面上。

图3 ERP投影
由于球体是单位球体,投影后的uv平面也是单位平面,即u和v的取值范围为[0,1]。
对于2D到3D的转换,首先对于uv平面上的坐标(m,n)计算对应的(u,v):
![]()
利用(u,v)可以计算经纬度:
![]()
最后可以根据公式(1)(2)(3)由经纬度计算(X,Y,Z)。
对于3D到2D的转换,首先根据公式(4)(5)由(X,Y,Z)计算得到(ϕ, θ),再由公式(8)(9)就是得到(u,v),最后根据公式(6)(7)计算得到(m,n)。
3D视频可以通过上面ERP投影变成2D视频,然后按照正常的视频编码方法进行编码。码流解码后得到的2D视频再通过逆投影变成3D视频。
ERP投影最大的优势就是其直观的投影方式,完全线性的变换公式使得其易于操作。但是极低的投影复杂度带来的是采样均匀性的降低,每条纬线上采样点的数量相同导致两极处的像素采样密度大于赤道。
上面的投影后的2D视频的左右边界在球面上其实是同一条边,为了减少在接缝处的失真在编码前可以对左右边界进行填充。

图4 ERP边界填充
如图4,在编码前对图像边界进行填充,填充部分为A2和B1。解码后视频通过后处理去除填充部分,有两种后处理方法,第一种是直接裁剪掉填充部分如图4右边部分。第二种就是"blending",如图4左边部分,处理后的A'由A1和B1根据距离加权得到,B'由B2和A2根据距离加权得到。

- /**************************************
- -180 180
- 90 0
- |
- v
- |
- -90 1
- 0 ----------u-----------------1
- ***************************************/
- Void TEquiRect::map2DTo3D(SPos& IPosIn, SPos *pSPosOut)
- {
- POSType u, v;
- //u = IPosIn.x;
- u = IPosIn.x + (POSType)(0.5);
- v = IPosIn.y + (POSType)(0.5);
-
- if ((u < 0 || u >= m_sVideoInfo.iFaceWidth) && ( v >= 0 && v < m_sVideoInfo.iFaceHeight))
- {
- u = u < 0 ? m_sVideoInfo.iFaceWidth+u : (u - m_sVideoInfo.iFaceWidth);
- }
- else if (v < 0)
- {
- v = -v;
- u = u + (m_sVideoInfo.iFaceWidth>>1);
- u = u >= m_sVideoInfo.iFaceWidth ? u - m_sVideoInfo.iFaceWidth : u;
- }
- else if(v >= m_sVideoInfo.iFaceHeight)
- {
- v = (m_sVideoInfo.iFaceHeight<<1)-v;
- u = u + (m_sVideoInfo.iFaceWidth>>1);
- u = u >= m_sVideoInfo.iFaceWidth ? u - m_sVideoInfo.iFaceWidth : u;
- }
-
- pSPosOut->faceIdx =IPosIn.faceIdx;
- POSType yaw = (POSType)(u*S_PI*2/m_sVideoInfo.iFaceWidth - S_PI);
- POSType pitch = (POSType)(S_PI_2 - v*S_PI/m_sVideoInfo.iFaceHeight);
-
- pSPosOut->x = (POSType)(scos(pitch)*scos(yaw));
- pSPosOut->y = (POSType)(ssin(pitch));
- pSPosOut->z = -(POSType)(scos(pitch)*ssin(yaw));
- }
-
- //The output is within [0.0, width)*[0.0, height) in sampling grid;
- Void TEquiRect::map3DTo2D(SPos *pSPosIn, SPos *pSPosOut)
- {
- POSType x = pSPosIn->x;
- POSType y = pSPosIn->y;
- POSType z = pSPosIn->z;
-
- pSPosOut->faceIdx = 0;
- pSPosOut->z = 0;
- //yaw;
- pSPosOut->x = (POSType)((S_PI-satan2(z, x))*m_sVideoInfo.iFaceWidth/(2*S_PI));
- pSPosOut->x -= 0.5;
-
- POSType len = ssqrt(x*x + y*y + z*z);
- //pitch;
- pSPosOut->y = (POSType)((len < S_EPS? 0.5 : sacos(y/len)/S_PI)*m_sVideoInfo.iFaceHeight);
- pSPosOut->y -= 0.5;
- }
AEP投影
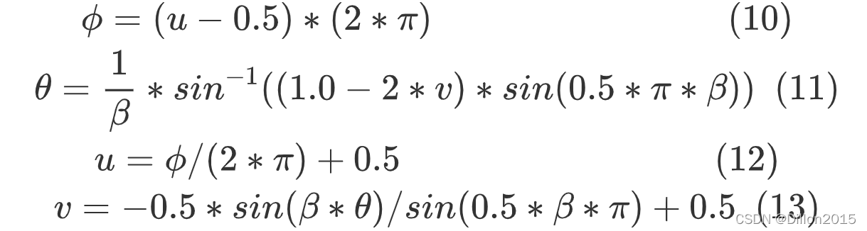
AEP(Adjusied equal-area projection)投影是EAP的改进,和ERP类似,投影后也只有一个uv平面,其uv和经纬度的转换方式如下:

其中beta=1/1.4,是经验参数。
感兴趣的请关注微信公众号Video Coding

